A cink, kvercetin, bromelain és C-vitamin négyes terápia vizsgálata a COVID-19-cel fertőzött betegek klinikai kimeneteleire

forrás: https://ichgcp.net/clinical-trials-registry/NCT04468139https://ichgcp.net/clinical-trials-registry/NCT04468139


2021-01-21 09:52:54


Jelenleg nincs bizonyított hatásossággal rendelkező gyógyszer, sem pedig vakcina a (COVID-19) megelőzésére. Sajnos, a tudományos közösség keveset tud a SARS-CoV-2 fertőzés molekuláris részleteiről. Az általunk kiválasztott gyógyszereket vírusellenes szerekként alkalmazzák klinikai kísérletekben, de nincs bizonyított útmutató a specifikusságukra és a vírusellenes hatásosságukra, így az eredmények eltérőek. A klinikai kísérletekben és a kutatási szervezeteknél most nagy erőkkel azon dolgoznak, hogy a vírus ellen leginkább igazolt kezelést vizsgálják, de eddig mindez még csak gyermekcipőben jár. A COVID-19-et idővel majd jobban meg tudják magyarázni a tudósok, és mivel ez egy szteroid válaszbetegség és trombózist és citokin vihart okoz, a kutatás célja az, hogy gátoljuk a vírus replikációját és csökkentsük a betegség súlyosságát, mivel a cink egy vírusellenes és citokin vihar ellenes, trombózis ellenes ásványi elem, amely szükséges az adaptív immunsejtek funkcióinak szabályozásához. Az intracelluláris cink magasabb szintjei megemelték az intracelluláris pH-t, ami érinti az RNS-függő RNS polimerázt és csökkenti az RNS vírusok replikációs mechanizmusát. Ezért azokat a gyógyszereket, amelyeket cink ionoforokként írnak le, alkalmazni lehet a cink táplálék-kiegészítésben, hogy vírusellenesként hassanak sok RNS vírussal, köztük a SARS-CoV-2-vel szemben is. A kvercetin egy természetes vegyület, amely cink ionofórként hatva a cink intracelluláris bejutását eredményezi.

A kvercetin biztonságos, természetes antioxidáns és gyulladásgátló polifenol vegyület, amely megtalálható különböző természetes forrásokban, beleértve a hagymát, a piros szőlőt, a mézet és a citrus gyümölcsöket. Megállapítást nyert, hogy a kvercetinnek megvan az a képessége, hogy kelátot képezzen a cink ionokkal és cink ionofórként hasson. Ezért a kvercetinnek antivirális hatása lehet sok RNS vírussal szemben. A kvercetinnek, amely egy gyümölcsökben és zöldségekben megtalálható flavonoid, olyan egyedülálló biológiai tulajdonságai vannak, amelyek javíthatják a mentális/fizikai teljesítményt és csökkentik a fertőzés kockázatát. Ezek a tulajdonságok képezik a potenciálisan kedvező hatásoknak azt az állapotát, amelyek az általános egészséges állapottól és a betegségnek való ellenállásig terjednek; ide értendőek a rákellenes, gyulladásgátló, vírusellenes, antioxidáns és pszichostimuláns hatásaik, valamint az, hogy képesek meggátolni a lipid peroxidációt, a vérlemezke aggregációt és a kapilláris permeabilitást, valamint stimulálni a mitokondriális biogenezist. Több tanulmányban is beszámolnak a bromelain immunmoduláló hatásáról. A bromelain aktiválja a természetes ölősejteket és növeli a granulocita-makrofág-kolónia stimuláló faktort, az IL-2-t, az IL-6-ot és csökkenti a segítő T-sejtek aktiválódását. Így tehát a bromelain gátolja a gyulladáskeltő mediátorok többségét és szignifikáns szerepet mutat gyulladásgátló ágensként különböző állapotokban. A C-vitamin alapvető antioxidáns és enzimatikus kofaktorként ismert az olyan fiziológiai reakciókban, mint a hormontermelés, a kollagén szintézis és az immunhatások felerősítése. Természetesen a C-vitamin hiány számos szerv súlyos károsodásához vezet, különösen igaz ez a szívre és az agyra, mivel mindkettő erősen aerób szerv, amely több oxigén gyököt termel. Valójában a C vitaminra vonatkozó in vivo kutatások nehezek, mivel a legtöbb állat, kivéve az embert és néhány főemlőst, képes endogén módon szintetizálni a C vitamint.

 


Az Adansonia digitata (Majomkenyérfa, Baobab) kivonat májvédő hatásának kiértékelése az acetaminophennel kiváltott májtoxicitásra, patkányokban

forrás: https://www.ncbi.nlm.nih.gov/pubmed/?term=PMC4812277


2017-03-14 10:44:16


Az Adansonia digitata L. (Malvaceae – mályvafélék családja) gyümölcshús metanolos kivonatát tanulmányoztuk annak májvédő hatására nézve acetaminophennel kiváltott károsodás ellen patkányokban. Az alapelv attól függ, hogy az acetaminophen adagolása öszefüggésben van-e az oxidatív stressz kialakulásával. Ezen kívül, hogy a májspecifikus szérum markerek zavart szenvednek-e. A patkányok kezelése az Adansonia digitata L. metanolos gyümölcshús kivonatával az acetaminophen adagolása előtt jelentősen csökkentette a májfunkció zavarait. A májfunkciókat a teljes protein, teljes bilirubin, ALP, ALT és AST értékelésével mértük. Ezen kívül értékeltük az oxidatív stressz paramétereit és az antioxidáns markereket is. Sőt sejtpatológiai kiértékelést is végeztünk azért, hogy felbecsülhessük a máj esetében a gyulladáskeltő átszivárgást vagy nekrózist. Az állatokat megfigyelés alatt tartottuk, vannak-e bármilyen mérgezettségi szimptómáik az Adansonia digitata L. gyümölcspép adagolását követően, hogy biztosíthassuk a gyümölcskivonat biztonságosságát.

1. Bevezetés

A modern ételdivatok, a túlzott gyógyszerfogyasztás és a szennyező anyagoknak való kitettség, sok más egyéb faktor mellett sokféle súlyos megbetegedéshez kell, hogy vezessenek, beleértve a májkárosodást is. [1]. A reaktív oxigénfajták termelését olyan döntő faktornak tekintik, amely a szövetek oxidatív károsodásához vezet. Ezek reakcióba lépnek a sejthártyával: ennek megfelelően sok klinikai betegséget ezeknek a szabadgyököknek lehet tulajdonítani. [2]. Az utóbbi időben gyógynövénytermékek kaptak figyelmet az alternatív gyógyászat részeiként. [3, 4]. Arról számoltak be, hogy a lakosság jelentős része természetes gyógykészítmények függőségében él, hogy fenntarthassa az egészségét vagy hogy kezelhesse a betegségeit. [5]. Manapság úgy tűnik, hogy ezeknek az újfajta drogtípusoknak a felfedezése oda vezetett, hogy a növényi eredetűekre összpontosítanak. A növényi gyógykészítmények jelentős szerepet játszanak a májsejtek regenerációjában és a gyógyulási folyamatok felgyorsításában, ennélfogva sok májbetegség kezelésében [2]. Az egyik ilyen általános példa a Silybum marianumból kivont szilimarin. A szilimarin egy fenolvegyületekből (flavonolignánsokból) álló keverék, melyet jól ismernek szabadgyökfaló tevékenységéről, ami ezért fontos szerepet játszik az oxidatív károsodás megelőzési kezelésében, amely károsodást a reaktív oxigénfajták váltanak ki. Manapság a szilimarint úgy tekintik, mint sok jelentős gyógyszerészeti készítmény fő komponensét a piacon, melyet azért vezettek be, hogy kezeljék vele a májbetegségeket [2, 6, 7].  Arra a tényre alapozva, hogy a növények félelmetes számban tekinthetők valóságos aranybányának a májvédő hatóanyagok felfedezésére, egy kutatási tanulmányba kezdtünk, hogy felderítsük az Adansonia digitata L. gyümölcshús adottságait.

A célunk itt most az, hogy felfedezzük azokat a természetes eredetű gyógyászati hatóanyagokat, amelyeknek májvédő hatása van. A munkánk az Adansonia digitata L. –re fog fókuszálni, (melyet közönségesen csak baobabként ismernek); ez egy Közép-Afrikában honos fa, mely a mályvafélék családjába tartozik. A baobab gyümölcshúsa igen jelentős élelmiszer. Úgy használják, hogy feloldják tejben vagy vízben. Ezt az oldatot italként használják, vagy sütéshez, vagy szószként ételekhez. A gyümölcshúst népszerű anyagnak tekintik jeges termékekben alkalmazva [8].Korábbi kémiai kutatások arról számoltak be, hogy az Adansonia digitata L flavonoidokat, terpéneket, szteroidokat, aminosavakat, vitaminokat. zsiradékokat és szénhidrátokat halmoz fel magában [9].

A száraz gyümölcshús magas százalékban tartalmaz szénhidrátokat, tiamint, nikotinsavat és C-vitamint: ezenkívül igen erős szabadgyök-faló tevékenységet is fejt ki [8, 10, 11]. Korábbi beszámolók azt is jelezték, hogy  a gyümölcshús-kivonat  számos olyan tevékenységet is kifejtett, mint  a gyulladáscsökkentés, fájdalomcsillapítás és lázcsillapítás [12]. Mivel a szabadgyök-faló és lázcsillapító hatás döntően fontos faktorok a májkárosodások kezelésében, ezért ez a növény javasolható, mint hatékony májvédő, az általa tartalmazott hatóanyag miatt. Kísérletünk során a gyümölcskivonatot teszteltük patkányokban acetaminophen adagolásával kiváltott májkárosodás elleni májvédő hatóanyagként. A májfunkció mérését annak specifikus szérum markerének, valamint az oxidatív stressznek a meghatározásával végeztük. A tanulmányt alátámasztják a sejtpatológiai kísérletek is, amelyek bármely nekrózisos, gyulladásos vagy átszivárgási jelenség észlelésére irányultak.

2. Anyagok és módszerek

2.1. Állatok

Hetven felnőtt hím Wistar patkányt, egyenként 200-250 g testsúlyúakat, használtunk fel a jelenlegi tanulmányban. A patkányok szabadon fértek hozzá az élelemhez és a vízhez. 12 órán át tartottuk őket világossági, 12 órát pedig sötétségi ciklusban a kísérlet ideje alatt, és megengedtük, hogy akklimatizálódjanak egy héten keresztül, mielőtt elkezdtük volna a kísérletet. Az állatkísérleteket jóváhagyta a National Committee of Biomedical Ethics (Országos Biomedikai Etikai Bizottság, a King Abdulaziz Egyetem, Jeddah, Szaúd-Arábia (referenciaszám: 163-15).

2.2 Drogok

Az acetaminophent és a szilimarint Sigmából, Egyiptomból szereztük be. A szilimarint szájon keresztül adagoltuk naponta egyszer egy héten keresztül gyomorszondán át 100 mg/kg adagban [13]. Az Adansonia digitata kivonatot (200 mg/kg) naponta egyszer adagoltuk szájon át egy héten keresztül. A drogokat és a kivonatot desztillált vizes szuszpenzióban tartottuk.

2.3. Növényi anyag és kivonat

A gyümölcsöket Szudánban gyűjtötték be és a King Abulaziz Egyetem Tudományos Karán azonosították, egy igazoló elismervényt letétbe helyeztek a King Abdulaziz Egyetem Alternatív Gyógyászati Fakultásán, a Gógyszerészeti Karon Jeddahban, Szaúd-Arábiában, az AD-2014 regisztrációs szám alatt. A gyümölcshúst metanollal vonták ki (3 × 2000 mL) macerálással szobahőmérsékleten. A kombinált metanolos kivonatot koncentráltuk csökkentett nyomás alatt, majd hűtőgépben tartottuk a felhasználásig.

2.4. Heveny mérgezettség a patkányokban

Az Adansonia digitata kivonat heveny mérgezésének teszteléséhez patkányokat használtunk, mindegyikhez hatot. Az Adansonia digitata kivonatot desztillált vízben szuszpendáltuk és naponta egyszer adagoltuk egy héten keresztül négy különféle dózisban. (200, 500, 1000, illetve 2000 mg/kg). Hat egér volt kontroll egyed. Az első órában a patkányokat folyamatosan megfigyeltük, majd 12 órán át óránként, hogy észlelhessük a mérgezettségi jeleket, illetve az elhalálozás jeleit.

2.5. Acetaminophen által kiváltott heveny májtoxicitás

Acetaminophennel váltottunk ki heveny májtoxicitást (2 g/kg) szájon keresztül az ötödik napon, 30 perces utókezeléssel [13, 14].

2.6. Kísérleti terv

Negyven patkányt osztottunk szét négy csoportba, minden egyes csoportba tíz állat került (n = 10), és orálisan kezeltük őket az alábbiak szerint:

  • I. csoport (normális): normális kontroll patkányokként használtuk őket, ezek desztillált vizet kaptak szájon keresztül hét napon át.
  • II. csoport (acetaminophen): a patkányok desztillált vizet kaptak szájon keresztül hét napon át; az ötödik napon a patkányok acetaminophent kaptak szájon át adagolva.
  • III. csoport (acetaminophen + szilimarin): a patkányok szilimarint kaptak (100 mg/kg) szájon keresztül hét napon át; az ötödik napon a patkányok orális adagokban kaptak acetaminophent.
  • IV. csoport (acetaminophen + kivonat): a patkányok a kivonatot kapták (200 mg/kg) szájon keresztül naponta hét napon át; az ötödik napon a patkányok acetaminophen adagot kaptak orálisan.

A hetedik napon, két órával a kezelések után [14] vérmintát vettek retroorbitális sinus plexuson keresztül, majd a patkányokat feláldozták. A vért hagyták megalvadni szobahőmérsékleten, majd a szérumot centrifugálással nyerték ki 4000 rpm-en 15 percen keresztül, utána −20°C-on tartották további biokémiai elemzések céljára. Két adag májszövetet vettek ki. Az első mintaadagot azonnal −80°C-ra hűtötték le, amíg fel nem használták különféle biokémiai mérésekhez, a második adagot viszont beágyazták 10%-os formalinba, majd feldolgozták szövetpatológiai kísérlethez. A májszövet metszeteket hematoxilinnel és eozinnal színezték (H&E).

2.7. A májfunkció mérése

A májfunkció kiértékeléséhez alanin-amino-transzaminázt (ALT), aszpartát-amino-transzaminázt (AST), alkalin-foszfatázt (ALP) és teljes bilirubint mértünk spektrometriásan a kereskedelmi BioMed Diagnosztikai (White City, OR, USA) felszerelés használatával. A teljes proteint mértük kolorimetriás módszerrel, egy Diamond C Diagnosztikai felszerelés használatával (Kairo, Egyiptom), követve a gyártó használati protokollját.

2.8. A lipid-peroxid mérése (MDA-val mérve)

Az MDA-t úgy határoztuk meg a máj homogenizátumokban spektrometriásan, mint a tio-barbiturátsav reaktív anyagait (TBARS) ) [15].

2.9. A glutation (GSH) mérése

A GSH szintet a máj homogenizátumokban Ellman módszerének követésével határoztuk meg [16].

2.10. A szuperoxid diszmutáz (SOD) mérése

A SOD aktivitást Marklund módszerének megfelelően mértük [17].

2.11. A kataláz tevékenyéség (CATA) mérése

A kataláz tevékenységet a máj homogenizátumban spektrometriásan mértük CATA mérőfelszerelés segítségével (Bio-Diagnostic, Egyiptom) Aebi 1984-es leírásának megfelelően [18].

2.12. Statisztikai elemzés

A kinyert adatokat úgy ábrázoltuk, mint átlagos ± standard eltérés (SD)-t. A csoportok közötti összehasonlítást egyirányú variációs (ANOVA) elemzésként használtuk, melyet Bonferroni többszörös összehasonlítási tesztjének követésével alkalmaztunk [19]. Minden P értéket kétfarkú (kétoldalú) értékként jegyeztek fel. P < 0.05-et statisztikailag jelentősnek ítéltük meg. Az adatokat a Statistical Package of Social Sciences (SPSS)-ként elemezték (Társadalomtudományok Statisztikai Csomagja .-  M.M.), 16-os program verzió.

3. Eredmények

3.1. Heveny toxicitási kísérlet

Az Adansonia digitata kivonat hét napi alkalmazása után nem jelentettek elhalálozást 2000 mg/kg-ig, és ezért a maximális adag egytizedének adagolását (pl. 200 mg/kg, p.o.) választották ennek a kísérletnek a lefolytatásához.

3.2. Az Adansonia digitata kivonat és a szilimarin hatása a májfunkcióra, ALT, AST, ALP, bilirubin és teljes protein mérésével

A májfunkció tesztek eredményeit az 1. táblázat mutatja. Az acetaminophen alkalmazása jelentős emelkedést eredményezett a májspecifikus ALT, AST, ALP és teljes bilirubin szérum markerek megemelkedésében. Másrészt jelentős csökkenés mutatkozott a teljes proteinben, a normális kontroll patkányok értékeivel összehasonlítva. Az acetaminophennek ezek az ártalmas hatásai jelentősek voltak (P < 0.05), melyeket enyhített az előzetes kezelés szilimarinnal, vagy pedig Adansonia digitata kivonattal, összevetve az acetaminophen csoport eredményeivel. Nem találtunk jelentős különbséget a szilimarinnal kezelt patkányok és az Adansonia digitata kivonattal kezelt patkányok között (1. táblázat).

https://www.ncbi.nlm.nih.gov/pmc/articles/PMC4812277/table/tab1/

1. táblázat

 

Az Adansonia digitata kivonat hatása a szérum májenzimekre (ALT, AST és ALP), a teljes bilirubinra és a teljes proteinre az acetaminophennel kiváltott májkárosodást szenvedett patkányokban.

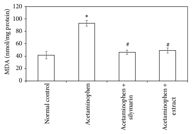
3.3. Az Adansonia digitata kivonat és a szilimarin hatása az acetaminophennel kiváltot májelváltozásokra, MDA, GSH, SOD és CAT tevékenységek

Az acetaminophennel kiváltott oxidatív stressz a májban jelentősen megemelkedett MDA szint (P < 0.05) formájában volt jelen, összefüggésben a jelentős SOD, GSH tevékenység csökkenésével (P < 0.05) és a CATA szintekével, összehasonlítva a normális állatokéval (11​14ábrák). Ezek a kártékony eredmények, melyeket az acetaminophen alkalmazása váltott ki, jelentősen javultak (P < 0.05), mikor az állatokat vagy szilimarinnal kezelték, vagy Adansonia digitata kivonattal, összehasonlítva az acetaminophen csoporttal. Nem volt jelentős különbség a szlimarin és az Adansonia digitata kivonattal kezelt csoport között, ami azt sugallja, hogy az Adansonia digitata kivonatnak ugyanolyan jótékony/gyógyító hatása van, mint a standard referencia drogként alkalmazott szilimarinnak (​114 ábrák).

http://medpublics.com/images/study58/1.jpg

 

Az Adansonia digitata kivonat (200 mg/kg) és a szilimarin (100 mg/kg) hatása a máj lipid-peroxid koncentrációira (MDA-val mérve) az acetaminophennel kiváltott májmérgezettség esetén patkányokban. Minden egyes pont a tíz patkány átlagos ± SD-jét ábrázolja…

 

http://medpublics.com/images/study58/2.jpg

 

Az Adansonia digitata kivonat (200 mg/kg) és a szilimarin (100 mg/kg) hatása a glutation (GSH) szintre az acetaminophen által kiváltott májmérgezettség esetén patkányokban. Minden egyes pont a tíz patkány átlag ± SD-jét ábrázolja. „Jelentős…

 

http://medpublics.com/images/study58/3.jpg

 

Az Adansonia digitata  kivonat (200 mg/kg) és a szilimarin (100 mg/kg) hatása a szuperoxid diszmutáz (SOD) tevékenységre az acetaminophen által kiváltott májmérgezettség esetén patkányokban. Minden egyes pont a tíz patkány átlag ± SD-jét ábrázolja. „Jelentős…

 

http://medpublics.com/images/study58/4.jpg

Az Adansonia digitata kivonat (200 mg/kg) és a szilimarin (100 mg/kg)hatása a máj kataláz (CATA) tevékenységre, melyet az acetaminophen által kiváltott májtoxicitást szevedett patkányokban mértek. Minden egyes pont a tíz patkány átlag ± SD-jét ábrázolja. „Jelentős…

 

3.4. Szövetpatológiai mikroszkópos tanulmány

A májszövetek szövetpatológiai tanulmányai feltárták, hogy sem a nekrózis, sem a gyulladás nem volt jelezhető a normál kontroll állatokban, ami azt mutatta, hogy normális hisztológiai struktúra van jelen a májsejtek teljességével egységben (5(a) ábra) Másrészt az acetaminophennel kezelt csoportnál a májsejtek nekrózisa volt kimutatható, gyulladás, valamint limfocita-átszivárgás (5(b) ábra). A szilimarinnal való előzetes kezelés megközelítőleg normális májstruktúrát mutatott ki (5(c) ábra). Az Adansonia digitata kivonattal való előzetes kezelés a májsejtek parenchyma (sejtszövet, működő szövet) megtartást mutatott enyhe nekrózissal és gyulladással (5(d) ábra).

http://medpublics.com/images/study58/5.jpg

A patkányok acetaminophennel, szilimarinnal és Adansonia digitata kivonattal kezelt csoportjainak szövetpatológiai tanulmánya. (a) A kontrollcsoport normális májszerkezetet mutatott (H&E ×40). (b) Az acetaminophennel kezelt csoport májsejtjei markánsan megmutatkoztak…

Go to:

4. Vitaanyag

A máj egy nagy szerv, mely felelős az anyagcseréért, a méregtelenítésért és a fehérjeszintézisért [20, 21]. Világszerte a drogok által kiváltott májmérgezettség az egyik legfőbb oka az emberi halandóságnak [22]. Számos kutató az acetaminophen által kiváltott mérgezésekkel szembeni védekezést tesztelte a lehetséges májvédő hatóanyagokkal [2326].

Az acetaminophen egy közönséges fájdalomcsillapító-lázcsillapító drog. Gyógyászati adagokban biztonságos. Sok kísérlet kimutatta már, hogy a nagy dózisú acetaminophen a májsejtek elhalását váltja ki az állatokban [2]. Az acetaminophen magas dózisa után széleskörűen átalakul az anyagcsere folyamán N-acetil-p-benzokvinoneiminné (NAPQI), ami kiüríti a GSH-t és májmérgezettséghez vezet [13, 14]. Az acetaminophenről azt is kimutatták, hogy közvetlenül gátolja a sejtszaporodást, oxidatív stresszt vált ki, ami lipid peroxidációhoz vezet, kimeríti az ATP-szintet és megváltoztatja a Ca++ homeosztázist: mindezeket az elváltozásokat a sejtek számára lehetségesen fatálisnak ítélik meg [27, 28].

A májkárosodás kiértékeléséhez biomarkereket (ALT, AST és ALP), valamint szérum bilirubin szinteket mértünk [29, 30]. A kísérletünk során az acetaminophennek betudható májmérgezettséget megerősítette az olyan biokémiai paraméterek megemelkedett szintje, mint az ALT, AST, ALP, valamint a teljes szérum bilirubin jelentős lecsökkenése, a teljes protein jelentős lecsökkenésével együtt. Ezt azzal a ténnyel lehet magyarázni, hogy a májsejtek olyan gazdaenzimeket tartalmaznak, amelyek egy sor anyagcsere-tevékenységet folytatnak. Az ALT magas koncentrációja volt megtalálható a citoplazmában, és az AST különösen a mitokondriumokban.

Az ALT megemelkedését általában az AST szintjének felemelkedése kíséri, ami alapvetően fontos szerepet játszik az aminosavaknak ketasavakká való átalakulásában [31]. Májmérgezettség esetén a májsejtek szállító funkciójában zavar keletkezik, és ez a plazma membránon keresztüli átszivárgásához vezet [32], ennélfogva ezeknek az enzimeknek az elszivárgása emelkedést okoz ezeknek a szérumszintjében. Az acetaminophen által kiváltott májkárosodás során a megemelkedett ALT és AST szintek a májsejtek integritásában a sejtszivárgás/sejtperforáció indikátorai [33]. Akár szilimarinnal kezelik őket, akár a kivonattal, ez visszafordítja az ALT és AST szintjeinek megnövekedését, annak következtében, hogy a plazma membrán stabilizálódik és kijavítja a sejtkárosodást, melyet az acetaminophen váltott ki [13, 27, 28].

Az alkalin foszfatáz megemelkedett szérumszintje annak tudható be, hogy az epevezeték sejtjeinek szintézise megnövekszik, válaszként arra, hogy megemelkedik az epenyomás és a koleosztázis [27, 28]. A hiper-bilirubinémia a túlzott májkárosodásnak volt betudható, valamint az epevezetékben megnövekedett nyomásnak. Ennek megfelelően tömeges gátlás jelentkezik a konjugációs reakcióban és nem konjugált bilirubint bocsátanak ki a sérült májsejtek. Akár szilimarinnal kezelték előzetesen, akár a kivonattal, ezen a ponton hatékonyan ellenőrzött alkalin foszfatáz tevékenység és bilirubin szint mutat rá, hogy fokozódik a májsejtek kiválasztó mechanizmusa irányában [2, 13, 30].

A teljes proteinszint lecsökkenése azt jelzi, hogy májkárosodás következett be a protein-szintézis jelentős visszaesése következtében. Hipoproteinémiát figyeltek meg acetaminophen adagolása után, de ennek szintje ismét megközelíti a normálisat, ha szilimarinnal vagy kivonattal kezelik.

A lipidoxidációt sugallták az acetaminophen által kiváltott májkárosodásra. A korábbi tanulmányokkal egyetértésben [2, 13] mi is úgy találtuk, hogy az MDA szintje megemelkedik, a SOD, CATA és a GSH szintjei pedig hatásukban lemerülnek,  A megemelkedett MDA-szint jelzi ezeknek a mechanizmusoknak a meghibásodását az antioxidáns védelemben [34].  A szilimarinnal vagy a kivonattal való előzetes kezelés jelentősen helyreállítja ezeket a hatásokat. A szervezet védelmi mechanizmusa megelőzi a sejtkárosodást, melyet a szabadgyökök váltottak ki [28]. Ezeket stabilizálják az endogén antioxidáns enzimek, mint pl. a GSH, a SOD és a CATA [35]. Ha nincsen egyensúlyban a ROS termelődése az antioxidáns védelemmel, oxidatív stressz következik be, ami sejtkárosodáshoz vezet. Bármely olyan vegyület, ami antioxidáns tulajdonságokkal bír, meg tudja előzni, illetve enyhíteni tudja az így bekövetkezett károkat [28]. Kísérletünk során A GSH, SOD és CATA szintjének lecsökkenése, melyet acetaminophennel kezelt patkányokon figyeltünk meg, azt jelzi, hogy a szabadgyökök szöveti károsodást okoztak. Ezeknek az antioxidáns enzimeknek a megnövekedett koncentrációja a májszövetekben a szilimarinal vagy kivonattal előkezelt állatokban jelzi a szilimarinnak vagy a kivonatnak az antioxidáns hatását.

A szövetpatológiai leletek megerősítették a biokémiai eredményeket. Azok a patkányok, amelyeket acetaminophennel kezeltek, a májsejtek elhalását mutatták, ami abban mutatkozott meg, hogy eltűntek a sejtmagok, a gyulladásos sejtek pedig összetapadtak. Ez azon szabadgyökök hatásának a következménye lehet, melyek az acetaminophen által kiváltott oxidatív stressz miatt keletkeztek. Ezek a szövetkórtani leletek jelentősen javultak azoknak a patkányoknak az esetében, amelyeket szilimarinnal vagy Adansonia digitata kivonattal kezeltek.

A szilimarin és az Adansonia digitata kivonat hasonló májvédő hatást mutattak jelen kísérlet során. Azok a lehetséges májvédő mechanizmusok, amelyeket a szilimarin kínál, a szilimarin magas fenoltartalmának tudhatók be, melyről úgy tudjuk, hogy hozzájárul az antioxidáns tevékenységhez [2, 6, 7]. Az Adansonia digitata kivonattal kapcsolatos eredményeink egybeesnek a korábbi beszámolókkal, melyeket az Adansonia digitata kémiai kutatásával kapcsolatosan végeztek, és amelyről azt jelentették, hogy összegyűjti a flavonoidokat, terpenoidokat, szteroidokat, aminosavakat, vitaminokat, lipideket és szénhidrátokat [9], míg a szárított gyümölcshús magas koncentrációban tartalmaz szénhidrátokat, tiamint, nikotinsavat és C-vitamint. Ennek megfelelően lehetséges, hogy a kivonat májvédő hatásának mechanizmusa annak az antioxidáns tevékenységnek tudható be, amely C-vitamin és flavonoid tartalmának köszönhető, ezekről pedig köztudott, hogy erős és hatásos szabadgyök-faló hatást fejtenek ki, és ezzel javítják az antioxidáns védelmi rendszer működését. Sőt ezen felül a gyulladáscsökkentő hatású szteroid-tartalom is jelentős szerepet játszhat a kivonat májvédő hatásában.

5. Következtetések

Kísérletünk azt sugallja, hogy az Adansonia digitata kivonatnak jelentős védőhatása van az acetaminophen által kiváltott májmérgezettség ellen. Az Adansonia digitata kivonata úgy fejti ki tevékenységét, hogy javítja a lipid peroxidációt szabadgyökfaló tevékenysége révén, valamint javítja az antioxidáns védelmi rendszer működését.

Elismerések

Ezt a projektet a Deanship of Scientific Research (DSR), a King Abdulaziz Egyetem, Jeddah alapította, Grant no. 166/896/D1435. A szerzők ezért köszönetüket és elismerésüket fejezik ki a DSR-nek a technikai és anyagi támogatásért.

Go to:

Érdekek ütközése

A szerzők kijelentik, hogy nem áll fel érdekütközés ennek a lapnak a megjelentetése révén.


Esetleges placebóval ellenőrzött kísérlet guavalére mint az aszkorbinsav természetes forrására vashiány csökkentése céljából tarahumara indián iskolásgyermekek vizsgálatával Észak-Mexikóban.

forrás: http://www.ncbi.nlm.nih.gov/pubmed/21896877


2014-02-19 10:38:08


CÉLKITŰZÉS

Annak megállapítása, hogy a 10 héten keresztül fogyasztott guavalé milyen hatékonyságot fejt ki azoknak a gyermekek a vas státuszára, akik enyhe vashiányos vérszegénységben szenvednek.

MÓDSZEREK:

Kilencvenöt bentlakásos iskolai gyermekről (6-9 évesek) állapították meg, hogy anémiásak, őket esetlegesen választották ki, hogy 300 ml természetes guavalét kapjanak, ami 200 mg aszkorbinsavat (AA) tartalmazott, vagy pedig placebót (guava ízesítésű dzsúszt, ami nem tartalmazott AA-t) főétkezéskor (heti 5 nap). Az étrendjükről szóló információt a 3., 5. és 7. héten gyűjtöttek be úgy az iskolában, mint háztartási szinten. A fő eredmények a hemoglobin (Hb) és plazma ferritin (PF)a vashiányos alcsoportban alapszinten (n = 33) voltak.

EREDMÉNYEK:

A vas- és fitosav fogyasztás az iskolában és otthon nem tért el a csoportok között. A vas- és fitosav fogyasztás az iskolában és otthon nem tért el a csoportok között. Az alapvető hemoglobin és polifenol bevitel 11.9 ± 0.5 g/dL és 8.2 ± 3.6 ng/mL a guava esetében, és 11.4 ± 1.1 g/dL és 7.4 ± 4.6 ng/mL a placebo csoportnál (Hb: p = 0.08; PF: p = 0.31); a kísérlet 10 hetében a megfelelő értékek 13.1 ± 0.9 g/dL és 17.9 ± 10.3 ng/mL (n = 16), és 12.3 ± 1.3 g/dL és 15.4 ± 5.8 ng/mL (n = 12) (Hb: p = 0.05; PF: p = 0.21) voltak. Egyenetlenségek/eltérések (ANOVA tekintetében elemezve, ismételt mértékben a guava csoportnál 0.64 g/dL-rel magasabb volt a hemoglobin Hb (CI(95), 0.18-1.11; p = 0.01) és 2.47 ng/mL-rel magasabb a polifenol érték PF (CI(95), -1.04 to 5.98; p = 0.12), összevetve a placebo csoportéval.

KÖVETKEZTETÉS

A guavalének, melyet 200 mg AA mennyiségben adtunk az egyes étkezésekkor minden tanítási napon, marginális hatása volt a hemoglobin- és polifenol koncentrációra (Hb és PF) azoknak a gyerekeknek az esetében, akik magas fitáttartalmú, vassal felerősített étrendet fogyasztottak.


Gyors felépülési idő a hemoglobinszint tekintetében rendszeres női (vér) donorok esetében, akik vasfumarátot és nagy mennyiségű aszkorbinsavat (C-vitamint) kaptak táplálék-kiegészítőként.

forrás: http://www.ncbi.nlm.nih.gov/pubmed/23936981


2014-02-19 10:31:56


HÁTTÉR:

Vashiányos vérszegénység gyakrabban fordul elő rendszeres női véradók esetében, mint férfi donoroknál. A vaspótlás szükséges, hogy fenn lehessen tartani a vér hemoglobinszintjét. Aszkorbinsavval kombinálva a vas felszívódásának mértéke megnövekszik.

CÉLKITŰZÉS:

Hasonlítsuk össze a naponta fogyasztott 200 mg/nap vasfumarát hatását  a vasfumarát 200 mg/nap plusz 100 mg/nap aszkorbinsavval, valamint a napi plusz 500 mg aszkorbinsav fogyasztással kombinálva a vér hemoglobinszintjére és a vörös vérsejt mutatóira.   aszkorbinsavval kombinálják, az javítja a vas felszívódásának mértékét.

ANYAG ÉS MÓDSZER:

Önkéntes női véradókat esetlegesen osztottak szét három egyforma csoportra, hogy mindhárom táplálék-kiegészítést teszteljék rajtuk egy hónapos időtartam alatt. Összehasonlították a hemoglobinszintjüket (Hb), MCV, MCH, és MCHC-t a véradás előtt és után 0.5, 1, 2, and 3 hónappal.

EREDMÉNYEK:

Kilencvenhat önkéntes vett részt a kísérletben, őket három egyforma csoportra osztották fel, azaz 32 tagú önkéntes csoportokat vizsgáltak. Nem voltak jelentős különbségek életkor BMI, ABO vércsoport, Rh, Hb, MC, MCH, és MCHC tekintetében véradás előtt minden csoport között (p > 0.05). A hemoglobinszint visszanyerési ideje a véradás előtti szintre az I., II.  és III. csoportban 2, 3 és 1 hónap volt, jelentős statisztikai különbségek mutatkoztak (p < 0.001). Az MCV, MCH, és MCHC felépülési ideje a véradás előtti szintre mindkét csoportban (I., II.) azonos volt (fél hónap minden érték tekintetében), ami gyorsabb volt, mint az I. csoportban (> 3, 3, és 1 hónap), statisztikailag jelentős különbségeket mutatva (p < 0.001). Mindhárom csoport jól tűrte a kezelést. Egyetlen résztvevő se lépett vissza ettől a kísérlettől mellékhatásokra való hivatkozással.

KÖVETKEZTETÉS:

A jelenlegi kísérlet azt mutatja, hogy a 200 mg vasfumarát kombinációja 500 mg/nap aszkorbinsavval felgyorsítja  a hemoglobin és a vörös vérsejtek mutatóinak visszanyerését a véradás előtti szintre rendszeres női véradók esetében.


QR-CODE

Download image: Right click, "Image save as..."